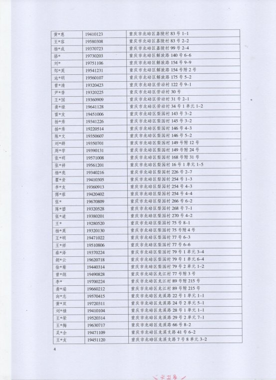
户口注销公告
日期:2026-02-10

按照《重庆市户口居民身份证管理工作规范实施细则》第四十三条 对确认公民死亡未申报注销户口的,公安机关应当履行公示或者告知程序后注销户口。经核实,以下居民已亡故,公安机关拟依规注销户口,现予以公告:


扫一扫在手机打开当前页